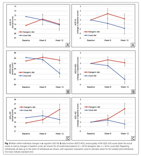
Results - We randomized 26 patients, of whom 21 (81%) completed the ketogenic diet; only one withdrawal was attributed to the ketogenic diet. While on the ketogenic diet, patients achieved sustained physiological ketosis (12-week mean beta-hydroxybutyrate level: 0.95 ± 0.34 mmol/L). Compared with usual diet, patients on the ketogenic diet increased their mean within-individual ADCS-ADL (+ 3.13 ± 5.01 points, P = 0.0067) and QOL-AD (+ 3.37 ± 6.86 points, P = 0.023) scores; the ACE-III also increased, but not significantly (+ 2.12 ± 8.70 points, P = 0.24). Changes in cardiovascular risk factors were mostly favourable, and adverse effects were mild.
Conclusions - This is the first randomized trial to investigate the impact of a ketogenic diet in patients with uniform diagnoses of AD. High rates of retention, adherence, and safety appear to be achievable in applying a 12-week modified ketogenic diet to AD patients. Compared with a usual diet supplemented with low-fat healthy-eating guidelines, patients on the ketogenic diet improved in daily function and quality of life, two factors of great importance to people living with dementia.
Full Paper https://doi.org/10.1186/s13195-021-00783-x
Modified here means meat based, not avoiding fats

